• Предмет: Математика
  • Автор: JenyaKotok
  • Вопрос задан 8 лет назад

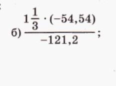
Помогите пожалуйста решить пример (фото а закрепе) ​

Приложения:

Ответы

Ответ дал: prlkomn
0

 frac{1 frac{1}{3} times ( - 54.54) }{ - 121.2}  =  frac{ frac{4}{3}  times ( -  frac{2727}{50}) }{ -  frac{606}{5} }  =  \    = frac{ - 2 times  frac{909}{25} }{ -  frac{606}{5} }  =  frac{ -  frac{ 1818}{25} }{ -  frac{606}{5} }  =  frac{ frac{1818}{25} }{ frac{606}{25} }  =  \  =  frac{3}{5}  = 0.6

отметь ответ лучшим, пожалуйста.

Вас заинтересует