• Предмет: Математика
  • Автор: 81olga17
  • Вопрос задан 8 лет назад

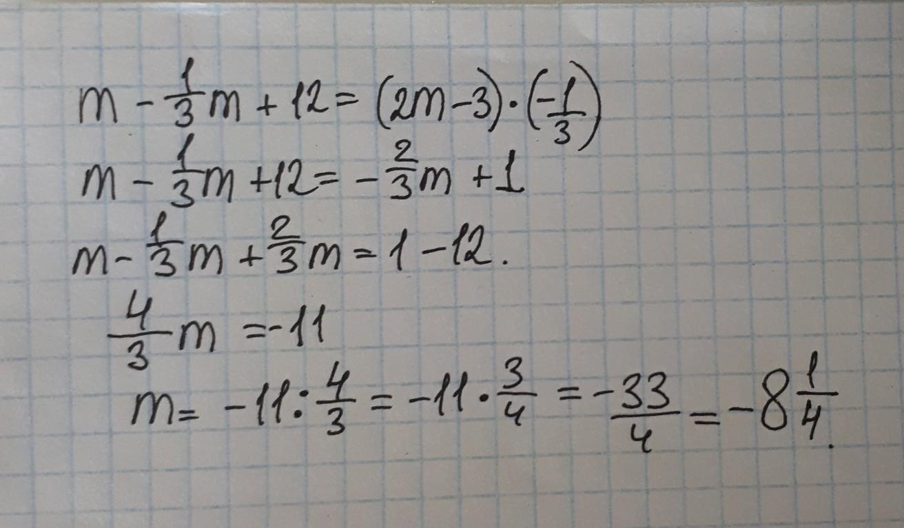
m-1/3m+12=(2m-3)x(-1/3)

Ответы

Ответ дал: citizennicki
0

Ответ:

-8 1/4

Пошаговое объяснение:

решение на фото

извиняюсь за первое неправильное

Приложения:
Ответ дал: 81olga17
0
почему получилось 2/3m =-11 , а не -1/3m= -11
Вас заинтересует