• Предмет: Алгебра
  • Автор: GontarevaAnna
  • Вопрос задан 8 лет назад

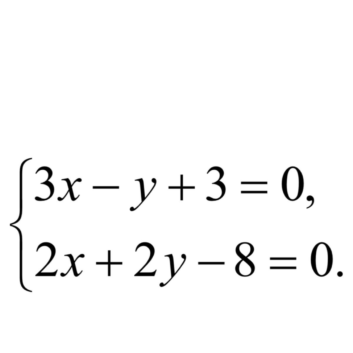
Решите линейное уравнение .

Приложения:

Ответы

Ответ дал: lubovbelova
0

Ответ:

у=3 +3х

2х+2(3+3х) - 8 = 0

2х+6+6х - 8=0

8х-2=0

8х=2

х=4

у=3+3х

у=3+12

у=15

Объяснение:

Ответ: у=15, х=4

Ответ дал: GontarevaAnna
0
Вы неправильно решили задание 2 разделить на 8 будет 0,25 тупые
Ответ дал: nazi1win
0

у=3х+3

2х+2(3х+3)-8=0

у=3х+3

2х+6х+6-8=0

у=3х+3

8х-2=0

у=3х+3

8х=2 | : 8

у=3×0,25+3

х=0,25

у=3,75

х=0,25

Ответ : (0,25; 3,75)

Ответ дал: GontarevaAnna
0
Спасибо большое!!!
Вас заинтересует