• Предмет: Алгебра
  • Автор: lolo242
  • Вопрос задан 8 лет назад

Не получается никак ​

Приложения:

Ответы

Ответ дал: nupellot
0

Сокращение через привидение к квадратному уравнению

Приложения:
Ответ дал: mmb1
0

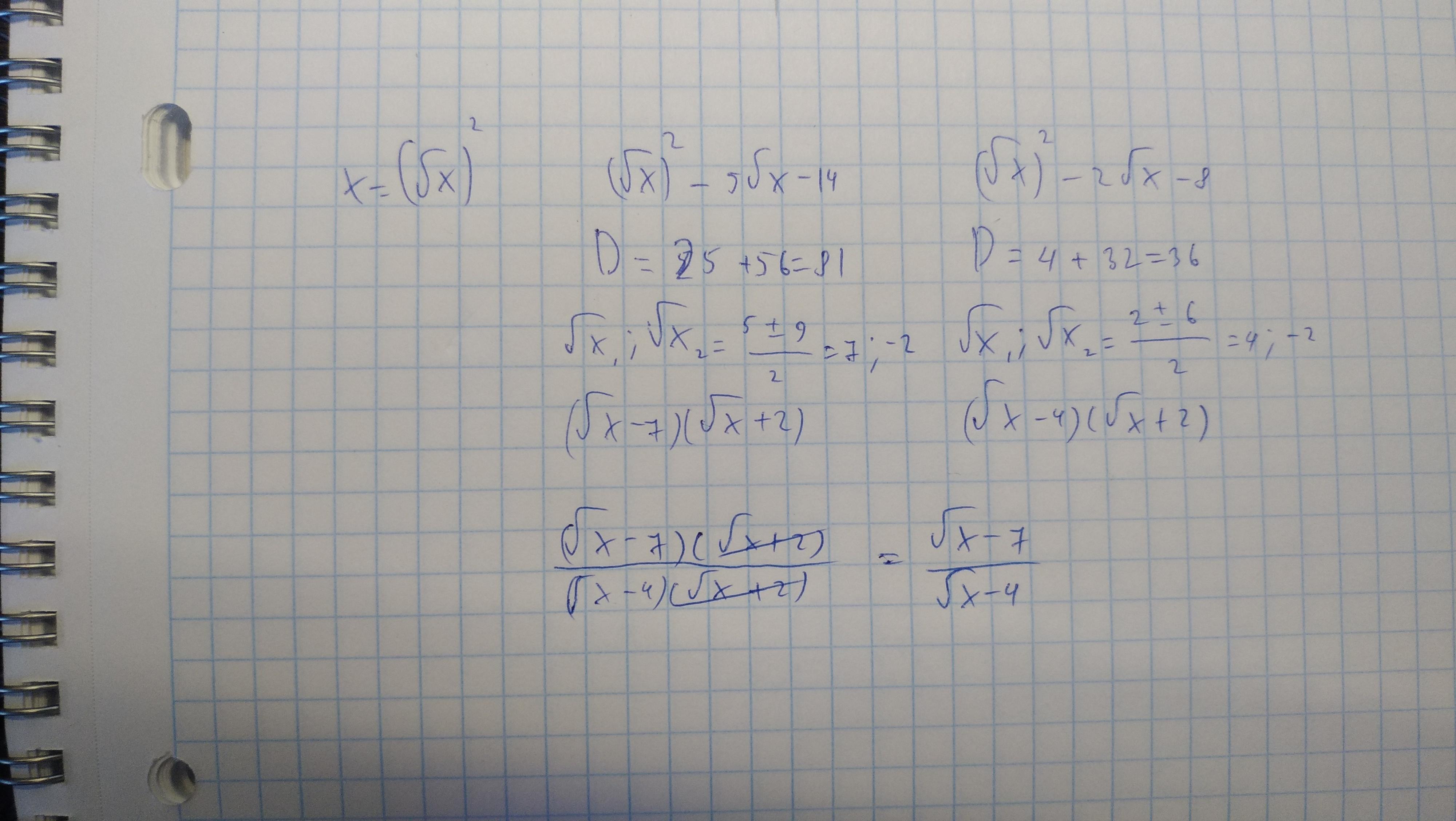
числитель и знаменатель раскладываем как многочлены на произведение одночленов относительно √x

x - 5√x - 14 = (√x + 2)(√x - 7)

t=√x

t² - 5t - 14 = (t + 2) (t - 7)

D=5² - 4*1*(-14) = 25 + 56 = 81 = 9²

t₁₂ = (5 +- 9) /2 = 7   -2

----

x - 2√x - 8 = (√x - 4)(√x + 2)

√x = m

m² - 2m - 8 = (m - 4)(m + 2)

D = b² - 4ac = 2² - 4*1*(-8) = 4 + 32 = 36 = 6²

m₁₂ = (2 +- 6) / 2 = 4     -2

Итак

(x - 5√x - 14) / ( x - 2√x - 8) = (√x + 2)(√x - 7) / (√x - 4)(√x + 2) =

= (√x - 7)/(√x - 4)

---------------------------------------------------------------------------------------------

Если в знаменателе нужны без корней то домножить и числитель и знаменатель на √x + 4

(√x - 7)(√x + 4)/(√x - 4)(√x + 4) = (√x - 7)(√x + 4)/(x - 16)

---------------------------------------------------------------------------------------------

Ответ (√x - 7)/(√x - 4)

Приложения:
Вас заинтересует