• Предмет: Математика
  • Автор: NaSik0AnaNasik
  • Вопрос задан 8 лет назад

СРОЧНО!
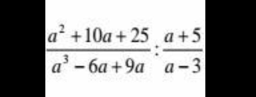
а^2+10а+25/а^3-6а+9а:а+5/а-3
УПРОСТИТЕ ВЫРАЖЕНИЕ​

Приложения:

Ответы

Ответ дал: izacoom2003
0

Ответ:

frac{a^{3}+15a^{2} +75a+125}{a^{4}-3a^{3}+3a^{2}-9a }

Вас заинтересует