• Предмет: Алгебра
  • Автор: tooonyyyaaaa
  • Вопрос задан 8 лет назад

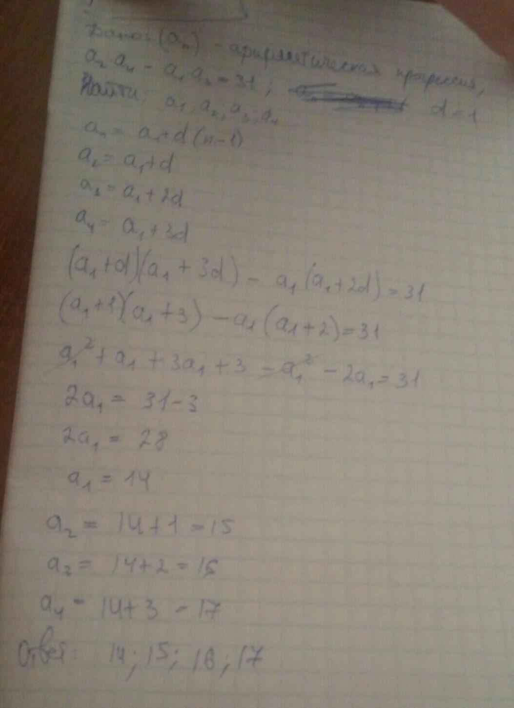
Найдите четыре последовательных натуральных числа таких, что произведение второго и четвёртого из этих чисел на 31 больше произведения первого и третьего.

Ответы

Ответ дал: asialoban
0

Ответ:

14; 15; 16; 17.

Объяснение:

На фотографии

Приложения:
Вас заинтересует