Ответы
Ответ дал:
0
Ответ:
Пошаговое объяснение:
Приложения:

Ответ дал:
0
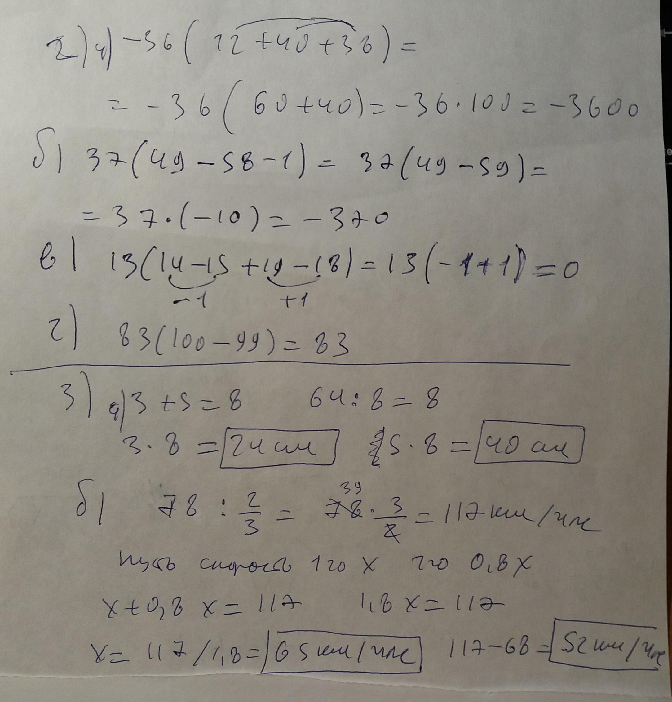
2. а)-36*22+(-36)*40+(-36)*38=-36*(22+38+40)=-3600
б)49*37-58*37-37=-37*(-49+1+58)=-37*(58-48)=-370
в)14*13-13*15+19*13-18*13=13*(14-15+19-18)=13*0=0
г)8300-83*99=83*100-83*99=83*(100-99)=83*1=83
3.а) АС=3х, ВС=5х+3х+5х=64
8х=64
х=8
значит,АС 8*3=24/см/
ВС=8*5=40/см/
б)Скорость второго х, первого 0.8х, скорость сближения х+0.8х=1.8х
за 2/3 часа они прошли 18х*2(10*3)=78
6х/5=78; х=78/(5/6)=65; скорость второго 65 км/ч, первого
65*0.8=52/км/ч./
Приложения:

Вас заинтересует
2 года назад
3 года назад
3 года назад
8 лет назад
8 лет назад
9 лет назад