• Предмет: Алгебра
  • Автор: Jaghed05
  • Вопрос задан 8 лет назад

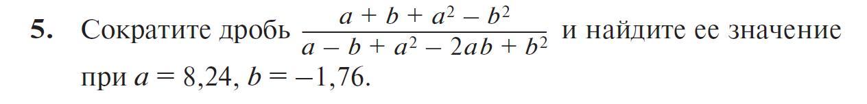
Сократите дробь
Задание на фото
Помогите пожалуйста

Приложения:

Ответы

Ответ дал: Universalka
0

frac{a+b+a^{2}-b^{2}}{a-b+a^{2}-2ab+b^{2}}=frac{(a+b)+(a^{2}-b^{2})}{(a-b)+(a^{2}-2ab+b^{2})}=frac{(a+b)+(a+b)(a-b)}{(a-b)+(a-b)^{2}}=frac{(a+b)(1+a-b)}{(a-b)(1+a-b)}=frac{a+b}{a-b} \\frac{a+b}{a-b}=frac{8,24-1,76}{8,24+1,76}=frac{6,48}{10}=0,648

Ответ дал: Jaghed05
0
Спасибо, с ответом сошлось
Ответ дал: Universalka
0
Пожалуйста )
Вас заинтересует