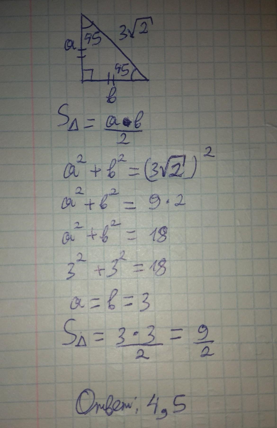
В прямоугольном треугольнике с острым углом 45 градусов гипотенуза равна 3и 2 в корне см.Найдите площадь этого треугольника.Пожалуйста, ПОМОГИТЕ!!!!
Ответы
Ответ дал:
0
Ответ:
4,5(Пишет, что надо 20 символов в ответе)
Объяснение:
Приложения:

Вас заинтересует
2 года назад
3 года назад
9 лет назад