• Предмет: Физика
  • Автор: AttackerOff
  • Вопрос задан 8 лет назад

Физика егэ 11 класс

Приложения:

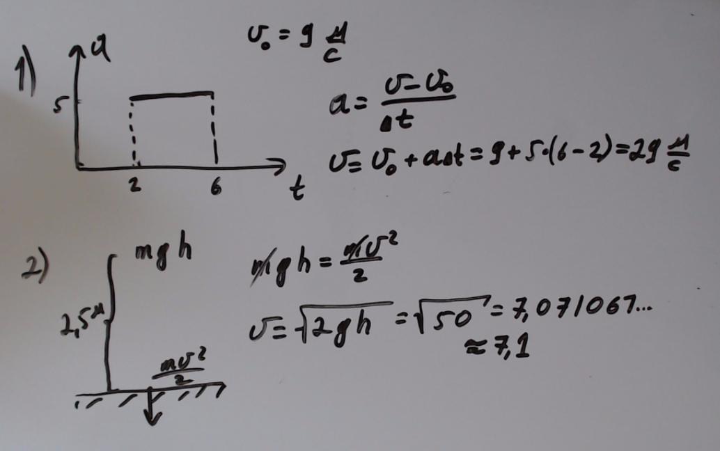
Ответы

Ответ дал: 102938456771
0

Ответ:

Ответы ниже. На здоровье!

Объяснение:

Приложения:
Ответ дал: AttackerOff
0
Можно вопрос насчет 4 задачи?А вы уверены,что там 1 правильный ответ?Если рассматривать потенциальную энергию шарика,она не будет максимальной на h=5?
Ответ дал: 102938456771
0
Конечно будет. И это второй ответ. Однако этот ответ содержит еще и другой, ошибочный. При двух метрах. Поэтому он не вошел в ответы.
Вас заинтересует