• Предмет: Геометрия
  • Автор: Regina055
  • Вопрос задан 8 лет назад

Напишите пожалуйста определение и их формулы.
Прямоугольная трапеция.
Разносторонняя трапеция.

Ответы

Ответ дал: ZhoOra
0

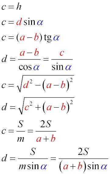
Ответ:Прямоугольная трапеция — это трапеция у котрой одна из боковых стороны перпендикулярна основам.

1 картинка - формула )

Равносторонняя трапеция — это трапеция, у которой боковые стороны равны.

Объяснение:

Приложения:
Ответ дал: Regina055
0
Большое спасибо
Вас заинтересует