Ответы
Ответ дал:
0
Ответ:
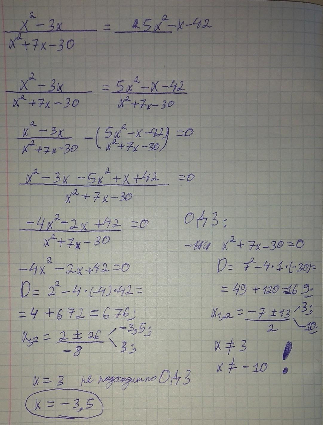
-3,5(Не забываем про ОДЗ(внизу не должно быть нуля))
Приложения:

Вас заинтересует
2 года назад
2 года назад
3 года назад
3 года назад
8 лет назад
8 лет назад