• Предмет: Алгебра
  • Автор: assinasstra
  • Вопрос задан 8 лет назад

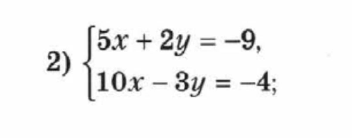
способ подстановки, помогите решить пожалуйста

Приложения:

Ответы

Ответ дал: razinoleg
0

Ответ:

х=-1, у=-2

Объяснение: выразим х через у

5х=-9-2у теперь подставим во второе уравнение

10х=2*5х

2(-9-2у)-3у=-4

-18-4у-3у=-4

-7у=-4+18

У=-2

Подставим значение у в уравнение

5х+2*(-2)=-9

5х=-9+4

5х=-5

х=-1

Вас заинтересует