• Предмет: Алгебра
  • Автор: odjdjpepd
  • Вопрос задан 8 лет назад

Вариант 2
1. Решите систему уравнений графическим методом:
у = 2х – 1,
х+у= -4.
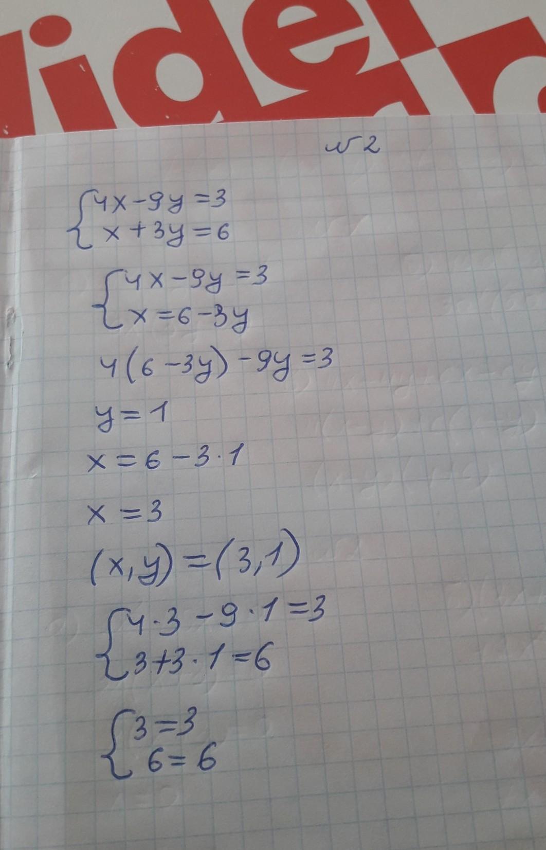
Решите систему уравнений методом подстановки:
4х – 9y = 3,
x + Зу = 6.
решите пожалуйста!!!​

Ответы

Ответ дал: Bogdan68786552
0

Надіюся так))))))

Удачі)))))

Приложения:
Ответ дал: Bogdan68786552
0
Постав Будь ласка як найкращу відповідь Будь-ласка)))))))
Ответ дал: Bogdan68786552
0
Я ж старався)))))
Ответ дал: odjdjpepd
0
ок
Ответ дал: Bogdan68786552
0
Постав Будь ласка як найкращу відповідь Будь-ласка)))))))
Вас заинтересует