Ответы
Ответ дал:
0
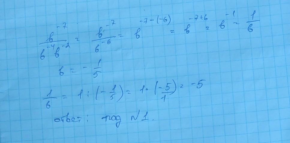
решение на фотографии
Приложения:

Ответ дал:
0
Спасибо
Вас заинтересует
3 года назад
8 лет назад
8 лет назад
9 лет назад