• Предмет: Математика
  • Автор: КвайГонн1993
  • Вопрос задан 8 лет назад

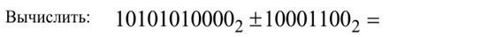
Помогите,пожалуйста вычислить:

Приложения:

Ответы

Ответ дал: IrkaShevko
0

Ответ:

Пошаговое объяснение:

10101010000₂ ± 10001100₂ = 1360 ± 140

1360 - 140 = 1220 = 10011000100₂

1360 + 140 = 1500 = 10111011100₂

Вас заинтересует