• Предмет: Математика
  • Автор: valerkanumber1
  • Вопрос задан 8 лет назад

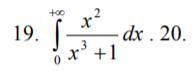
Вычислить несобственный интеграл или установить его расходимость.

Приложения:

Ответы

Ответ дал: serjiof
0

Ответ:

Пошаговое объяснение: решение в файле

Приложения:
Вас заинтересует