Ответы
Ответ дал:
0
Ответ:
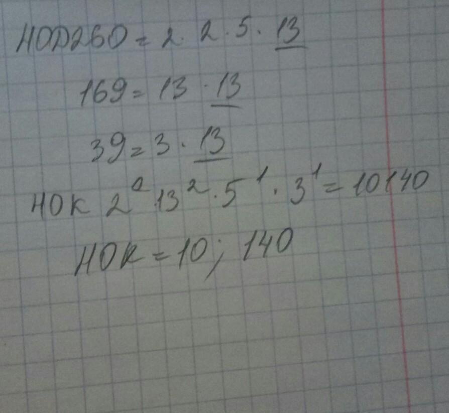
НОД(13)
НОК(10, 140)
Пошаговое объяснение:
..........................
Приложения:

Ответ дал:
0
объясните?
Ответ дал:
0
готово
Вас заинтересует
2 года назад
3 года назад
3 года назад
8 лет назад
8 лет назад
9 лет назад