• Предмет: Алгебра
  • Автор: rinagoon2003
  • Вопрос задан 8 лет назад

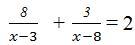
помогите решить уравнение ♥

Приложения:

Ответы

Ответ дал: sangers1959
0

Ответ: x₁=5,5     x₂=11.

Объяснение:

8/(x-3)+3/(x-8)=2     ОДЗ: x-3≠0    x≠3      x-8≠0      x≠8

8*(x-8)+3*(x-3)=2*(x-3)*(x-8)

8x-64+3x-9=2x²-22x+48

2x²-33x+121=0     D=121      √D=11

x₁=5,5           x₂=11.

Вас заинтересует