помогите пожалуйста решить уравнение четыре икс во второй степени плюс пять минус шесть равно ноль
Ответы
Ответ дал:
0
на фото/%/%/%/%/%/%%^%^%:/%
Приложения:

Ответ дал:
0
Ответ:
0,5
Пошаговое объяснение:
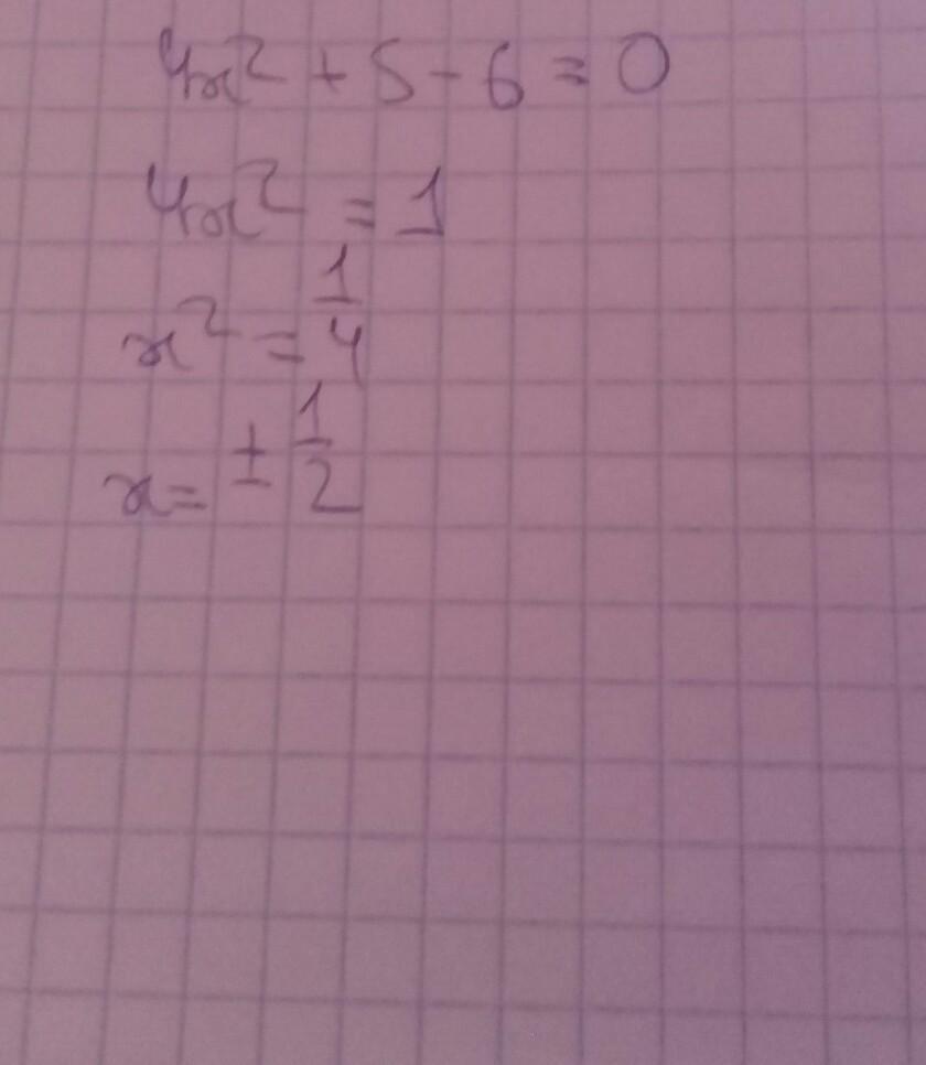
- 4х²+5-6=0
- 4х²=-5+6
- 4х²=1
- х²=1:4
- х²=0,25
- х=0,25•0,25
- х=0,5
Приложения:

Вас заинтересует
2 года назад
2 года назад
3 года назад
3 года назад
9 лет назад