• Предмет: Математика
  • Автор: stocka18
  • Вопрос задан 8 лет назад

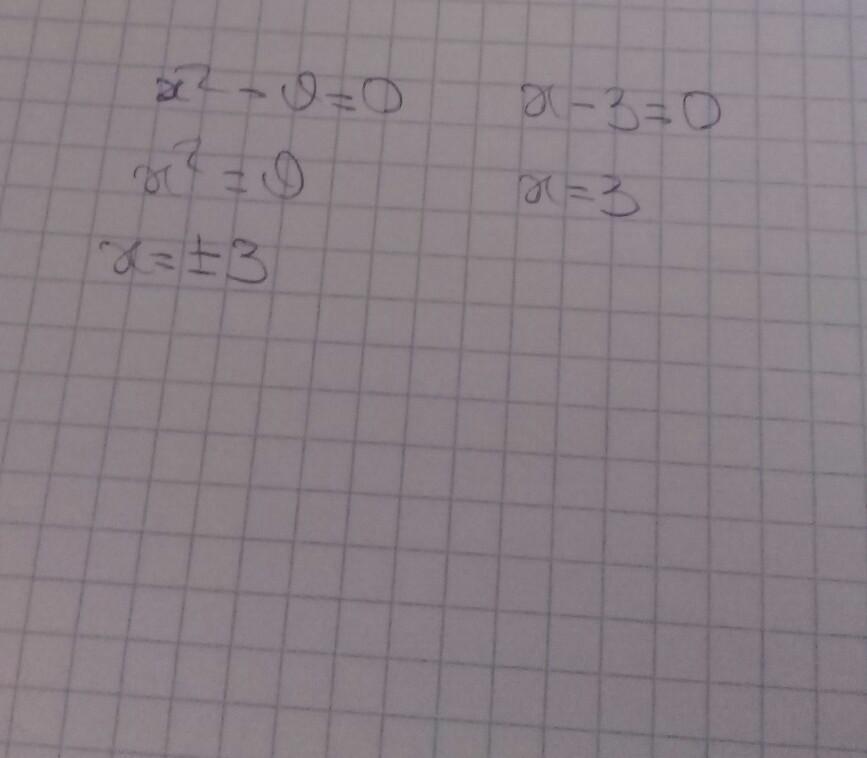
Розв'яжіть рівняння х2-9 х-3=0​

Ответы

Ответ дал: Andrey0488
0

на фото/%/%/%/%/%/%/%^%^%

Приложения:
Вас заинтересует