Ответы
Ответ дал:
0
Ответ:
Пошаговое объяснение:
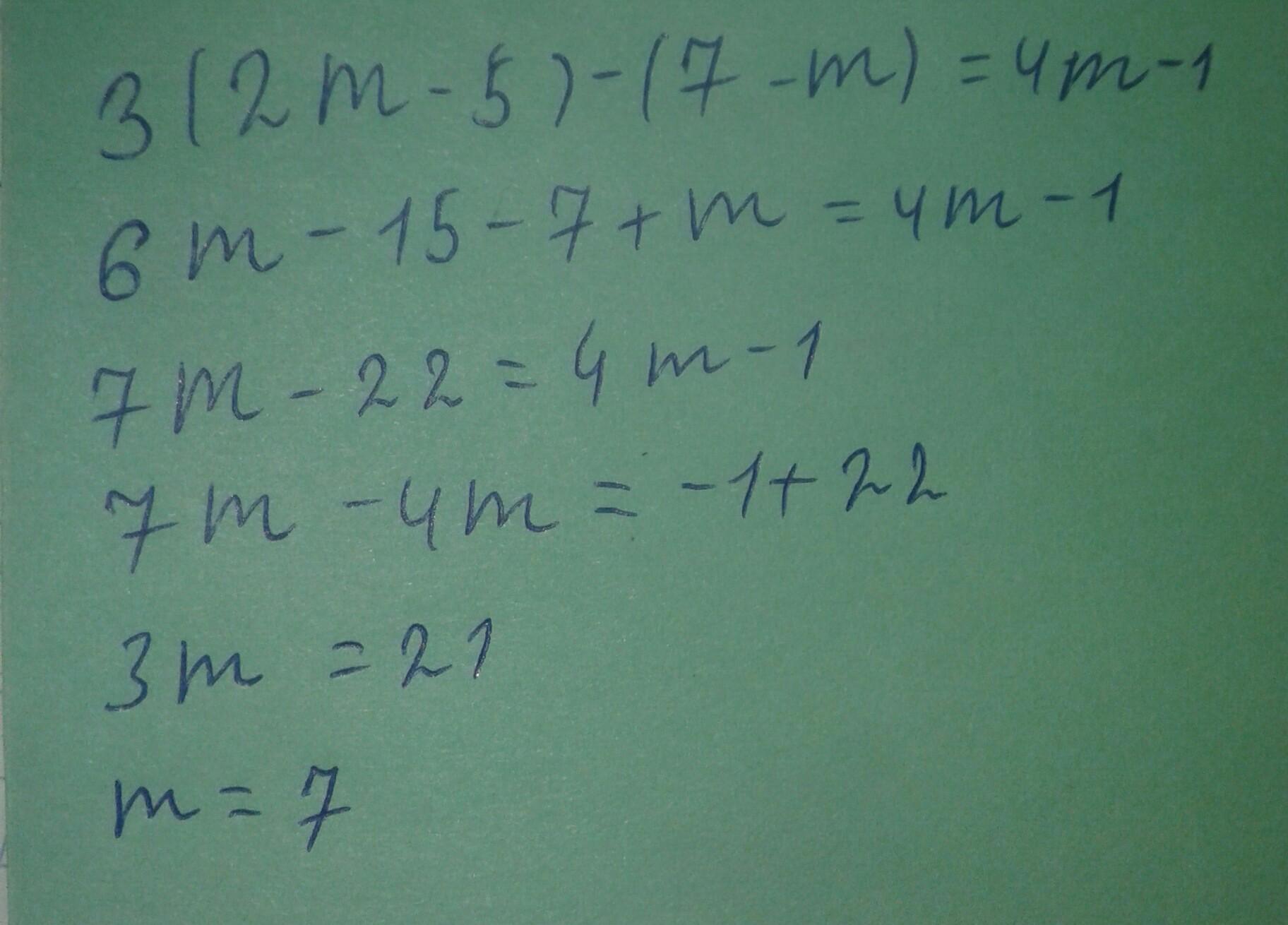
6m-15-7+m-4m+1=0
3m=21
m=7
Ответ дал:
0
Ответ во вложении. Удачи.
Приложения:

Вас заинтересует
2 года назад
2 года назад
3 года назад
3 года назад
8 лет назад
8 лет назад
9 лет назад