• Предмет: Математика
  • Автор: Danyakosmolov
  • Вопрос задан 8 лет назад

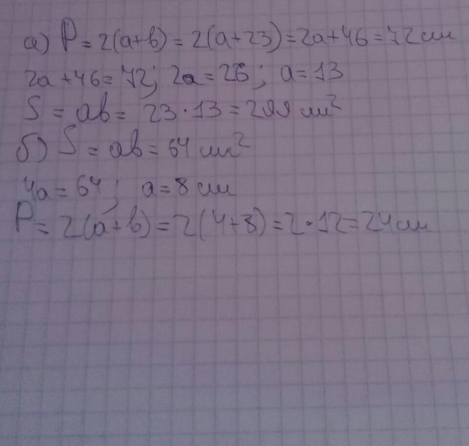
а) Периметр прямоугольника 72 см,его длина 23 см. Найди площадь прямоугольника

б) Площадь прямоугольника 64 см², его ширина 4 см. Найди периметр прямоугольника

Ответы

Ответ дал: Andrey0488
0

фотототототоотототототоьо

Приложения:
Ответ дал: Danyakosmolov
0
ок
Ответ дал: Danyakosmolov
0
пять!
Ответ дал: Andrey0488
0
;)
Ответ дал: Danyakosmolov
0
пока!
Ответ дал: Andrey0488
0
пока
Ответ дал: boris5373
0

Ответ:

Площадь прямоугольника

S=72•23=1656(см2)

Ответ:1656 площадь прямоугольника

64см2=4096(см2)

P=4096•2+4•2=8200(см)

Ответ:8200см периметр прямоугольника

Приложения:
Вас заинтересует