решите пожалуйста 2 примера, можно просто ответ без решения, во втором примере первое число 9
Приложения:

Ответы
Ответ дал:
0
.........................
Приложения:

Ответ дал:
0
Ответ:
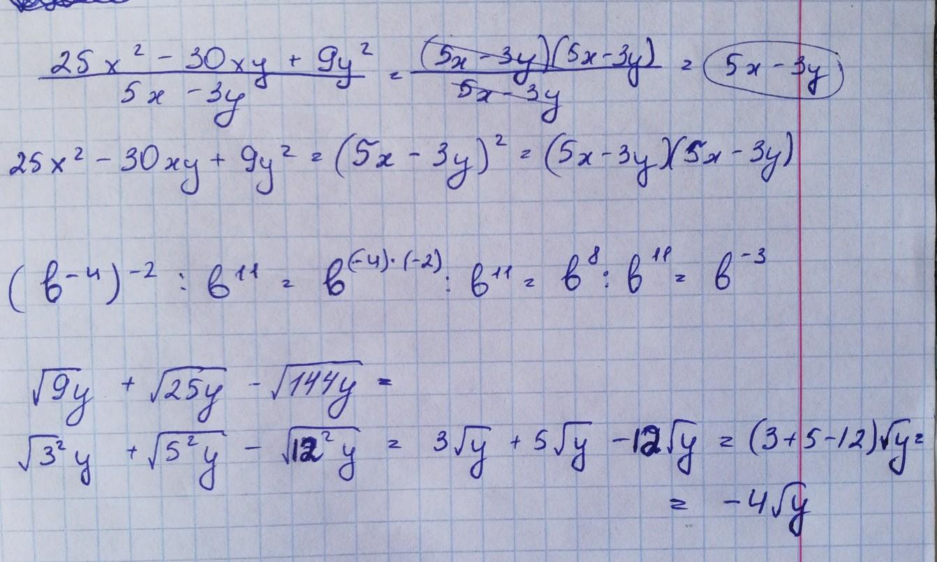
Объяснение:=b^8:b^11=b^(-3)=1/b³. (^ ----указатель степени)
√9y+√25y-√144y =3√y+5√y-12√y =-4√y.
Приложения:

Вас заинтересует
2 года назад
2 года назад
3 года назад
3 года назад
8 лет назад
8 лет назад
9 лет назад