Найдите значение выражения:
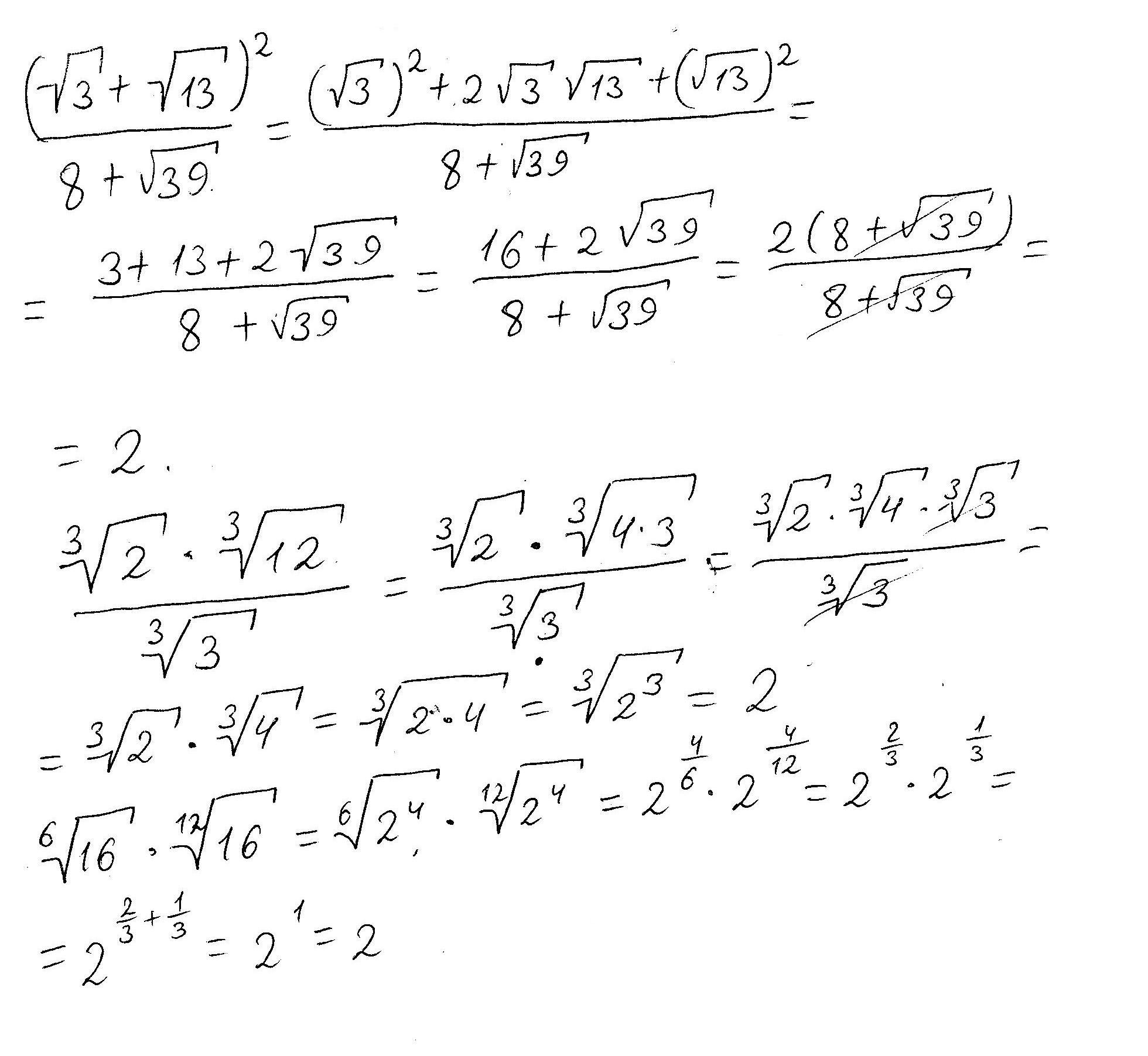
frac{(sqrt{3}+sqrt{13} )^2}{8+sqrt{39} }
frac{sqrt[3]{2}*sqrt[3]{12} }{sqrt[3]{3} }
sqrt[6]{16}*sqrt[12]{16}
Ответы
Ответ дал:
0
Ответ:
2.
2.
2.
Объяснение:
Решение в приложении.
Приложения:

Вас заинтересует
2 года назад
2 года назад
3 года назад
8 лет назад