Ответы
Ответ дал:
0
на фото/%/%/%/%/%/%/%/%/%
Приложения:

Ответ дал:
0
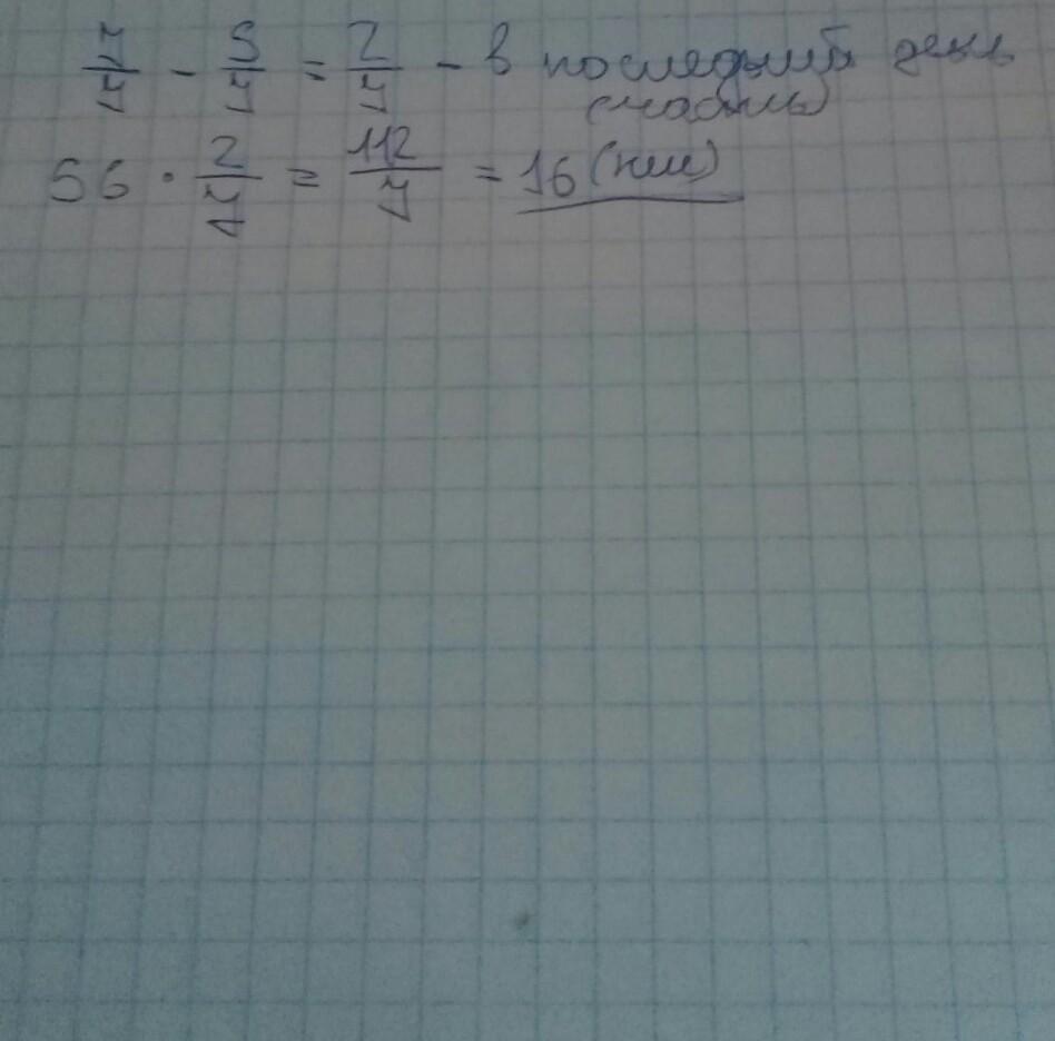
Ответ:
16
Пошаговое объяснение:
Т.к 56:7х5 =40 что равняется 5 седьмых
56-40 = 16 - это остаток, равный двум семи путя.
Приложения:

Вас заинтересует
3 года назад
3 года назад
8 лет назад
9 лет назад
9 лет назад