• Предмет: Математика
  • Автор: nimfa372
  • Вопрос задан 8 лет назад

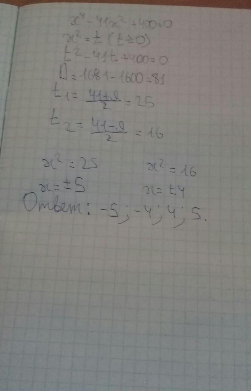
Найди корни уравнения x4−41⋅x2+400=0 . Если корней несколько, в ответе укажи их в порядке возрастания через точку с запятой без пробелов (например: -4;1).

Ответы

Ответ дал: Andrey0488
0

на фото /%/%/%/%/%/%/%___/%/%___

Приложения:
Вас заинтересует