Решите задачу,составив систему уравнений.
Расстояние между двумя деревнями на реке 30 км.Это расстояние моторная лодка проходит по течению реки за 2 ч,а против течения за 3 ч.Найдите собственную скорость лодки и скорость течения
Приложения:

Ответы
Ответ дал:
0
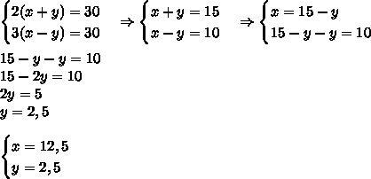
Собственная скорость лодки x км/ч, скорость течения y км/ч.
Скорость лодки по течению (x+y) км/ч, против течения (x-y) км/ч.
По течению проходит 30 км за 2 часа, т.е. 2*(x+y) = 30.
Против течения проходит 30 км на 3 часа, т.е. 3*(x-y) = 30.
Приложения:

Ответ дал:
0
ЛЮБЛЮ ТЕБЯ
Вас заинтересует
2 года назад
2 года назад
3 года назад
8 лет назад
8 лет назад
9 лет назад