Ответы
Ответ дал:
0
Ответ:
1. Ответ 4,76
2.Ответ 116,5
3. Ответ 69,20
Не за что.
Ответ дал:
0
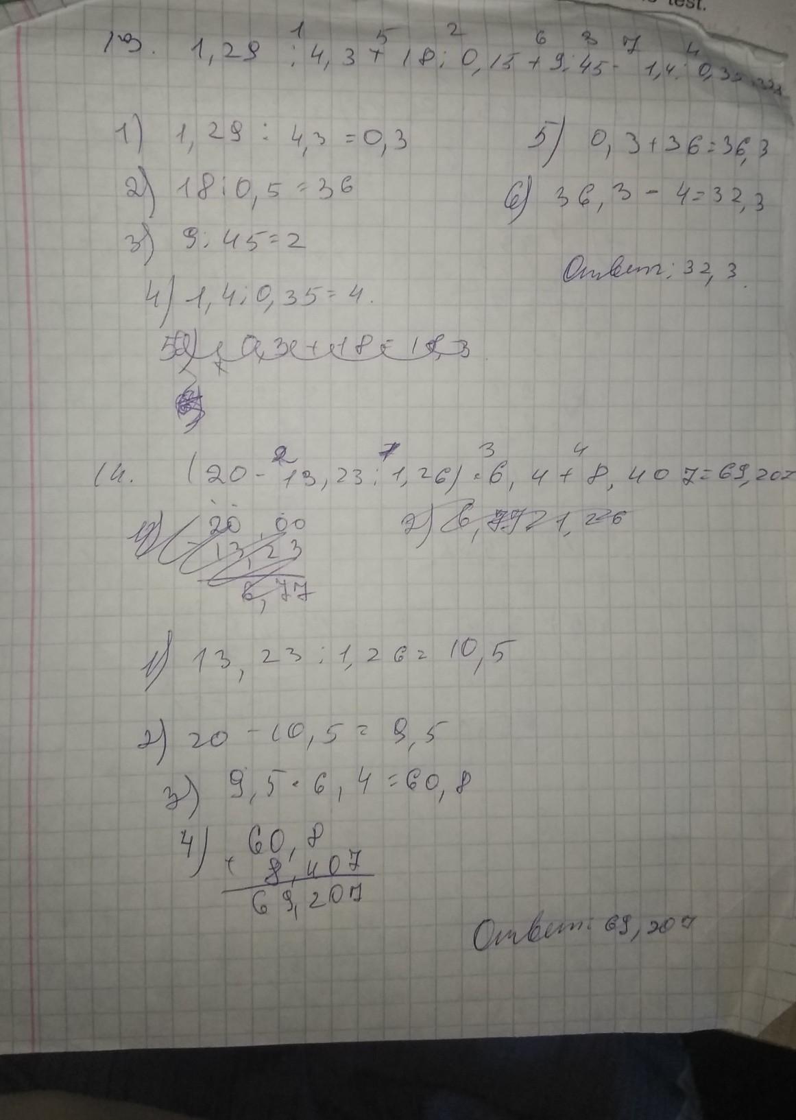
Сорян за ошибки. Ответы: 12-4.746;
13-32.3;14-69.207.
Приложения:


Ответ дал:
0
4.764(извинитеее)*
Вас заинтересует
2 года назад
3 года назад
8 лет назад
8 лет назад
9 лет назад