• Предмет: Алгебра
  • Автор: benya123
  • Вопрос задан 8 лет назад

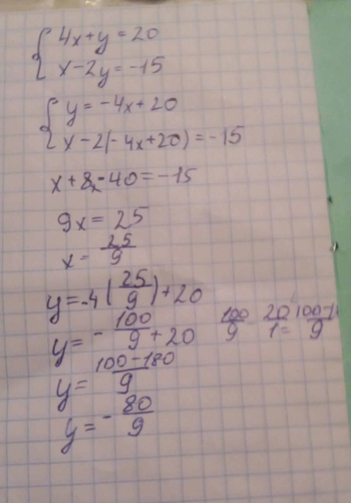
решите систему уравнений 4x+y=20 x-2y=-15​

Ответы

Ответ дал: fgsjv
0

Вот я решила только подучидись дроби

Выбери отвнт лучшим пж мне очень надо

Приложения:
Ответ дал: benya123
0
благодарю, бро
Вас заинтересует