• Предмет: Математика
  • Автор: Noname890
  • Вопрос задан 8 лет назад

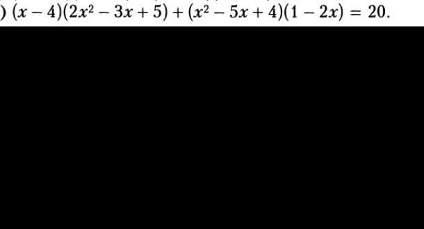
Решить уравнение
даю 25 балов​

Приложения:

Ответы

Ответ дал: VoroHobbit
0

Ответ:

2x куб-3х квадрат +5х-8х квадрат +12х-20+х квадрат -2х куб -5х +10х квадрат +4-8х=20

0+4х-16=20

4х-16=20

4х=20+16

4х=36

х=9

(в кубе и в квадрате только Х)

Вас заинтересует