• Предмет: Алгебра
  • Автор: dmitrybaranov
  • Вопрос задан 8 лет назад

Помогите пж. Даю 15баллов

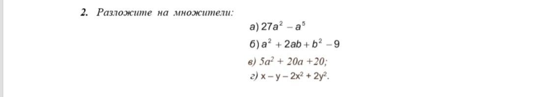
Приложения:

Ответы

Ответ дал: HahahaLel
0

a2(27-a3)= a2(3-a)(a2+3a+9)

Ответ дал: dmitrybaranov
0
А остальные
Вас заинтересует