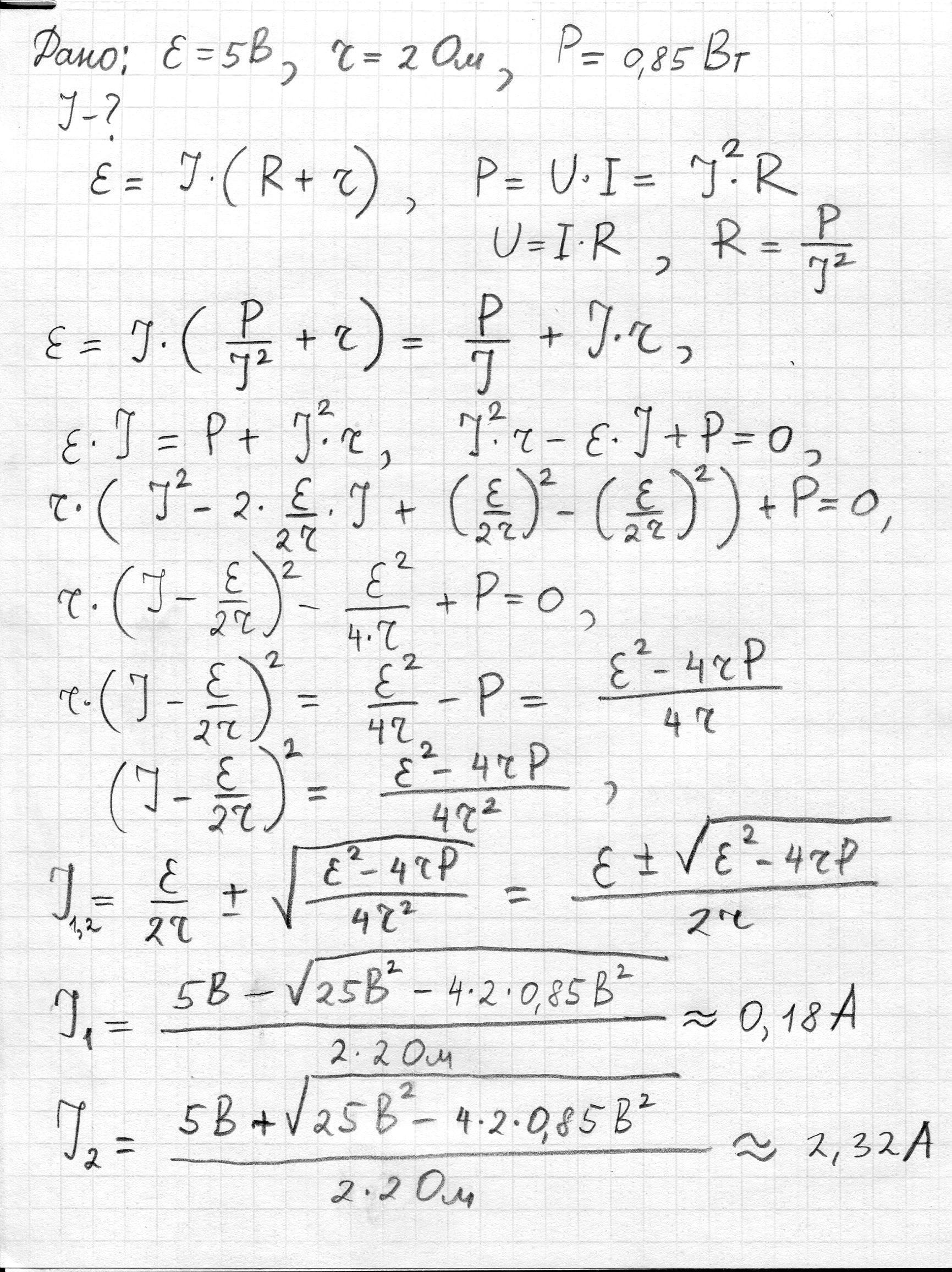
Помогите!! Очень срочно! 20 баллов! ЭДС источника постоянного тока 5 В, его внутреннее сопротивление 2 Ом. Мощность тока в резисторе, подключенном к источнику, Р = 0,85 Вт. Чему равна сила тока?
Ответы
Ответ дал:
0
Я написал решение на листочке ===>>
Приложения:

Вас заинтересует
2 года назад
2 года назад
3 года назад
3 года назад
8 лет назад
8 лет назад