Помогите пожалуйста! Не понимаю, как делать это задание.
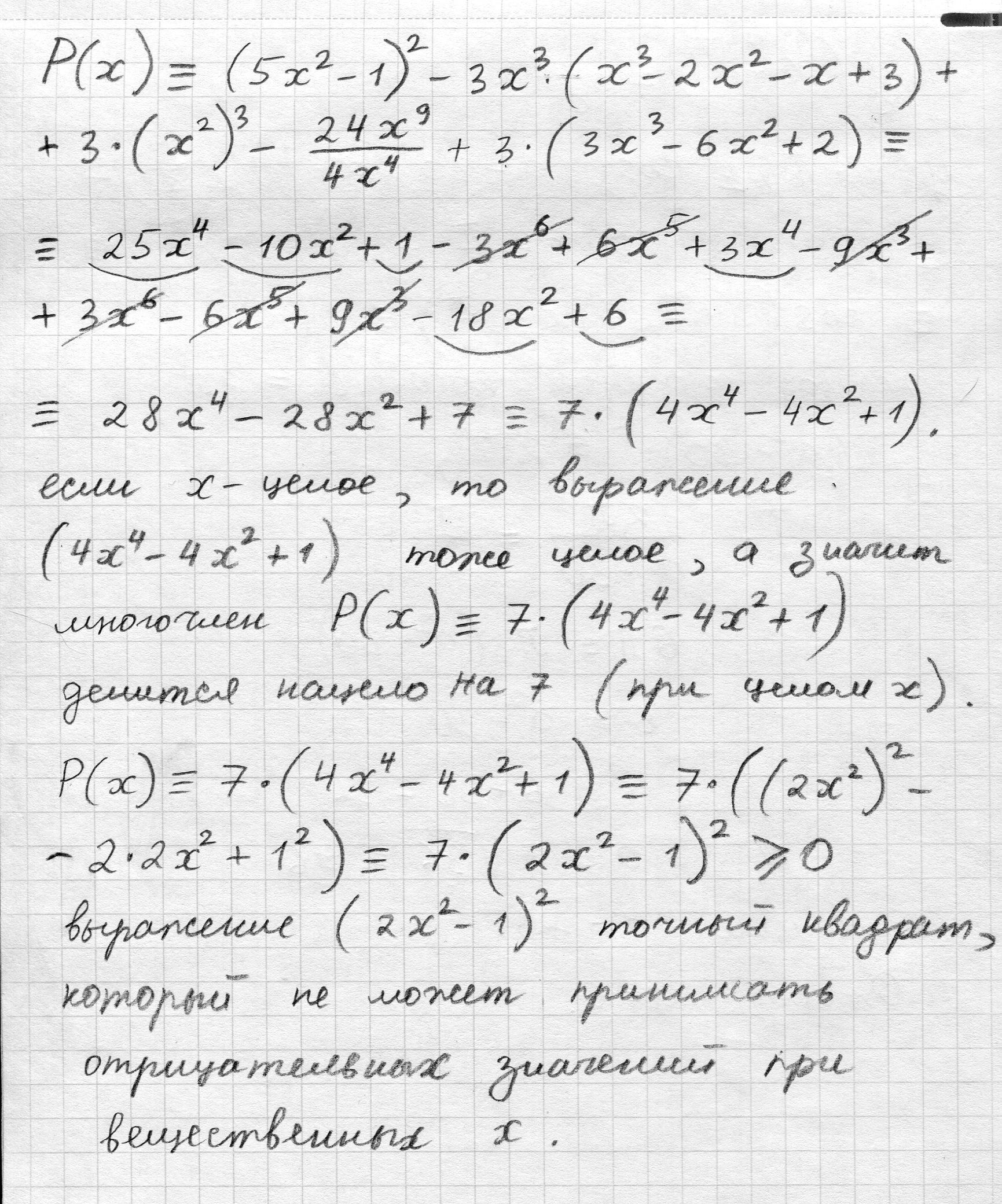
Задание 2. Задано выражение: (5x^2-1)^2-3x^3(x^3-2x^2-x+3)+3(x^2)^3-24x^9/4x^4+3(3x^3-6x^2+2).
1. Преобразуйте выражение, чтобы получить многочлен стандартного вида. Укажите степень многочлена.
2. Докажите, что при любых целых значениях x многочлен делится на 7.
3. Докажите, что при любых действительных значениях x многочлен не может принимать отрицательных значений.
Очень прошу, решите это до утра.
Ответы
Ответ дал:
0
Я написал решение на листочке ===>>
Приложения:

Ответ дал:
0
Спасибо тебе большое!!;
Ответ дал:
0
Спасибо, а это верно?
Ответ дал:
0
А где 1,2,3?
Ответ дал:
0
Не обозначено просто, но все равно спасибо
Вас заинтересует
2 года назад
3 года назад
3 года назад
8 лет назад
8 лет назад
9 лет назад
9 лет назад