Ответы
Ответ дал:
0
Ответ:
...........................
Приложения:

Ответ дал:
0
Ответ: x=7 y=-2.
Объяснение:
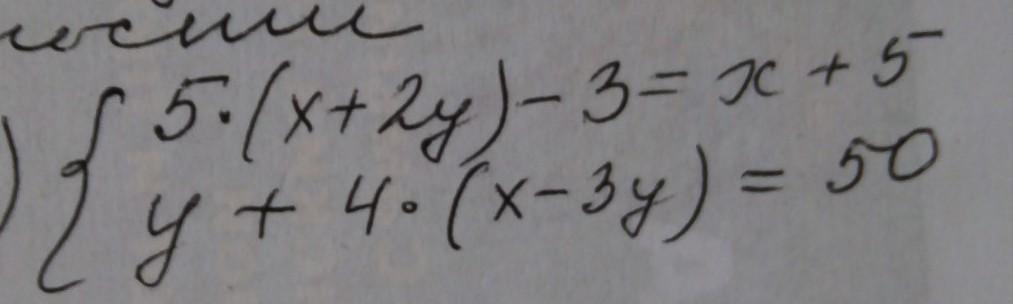
{5*(x+2y)-3=x+5 {5x+10y-3=x+5 {4x+10y=8
{y+4*(x-3y)=50 {y+4x-12y=50 {4x-11y=50
Вычитаем из первого уравнения второе:
21у=-42 |÷21
y=-2 ⇒
4x+10*(-2)=8
4x-20=8
4x=28 |÷4
x=7.
Приложения:

Вас заинтересует
2 года назад
2 года назад
3 года назад
8 лет назад
8 лет назад