• Предмет: Математика
  • Автор: diana8438
  • Вопрос задан 8 лет назад

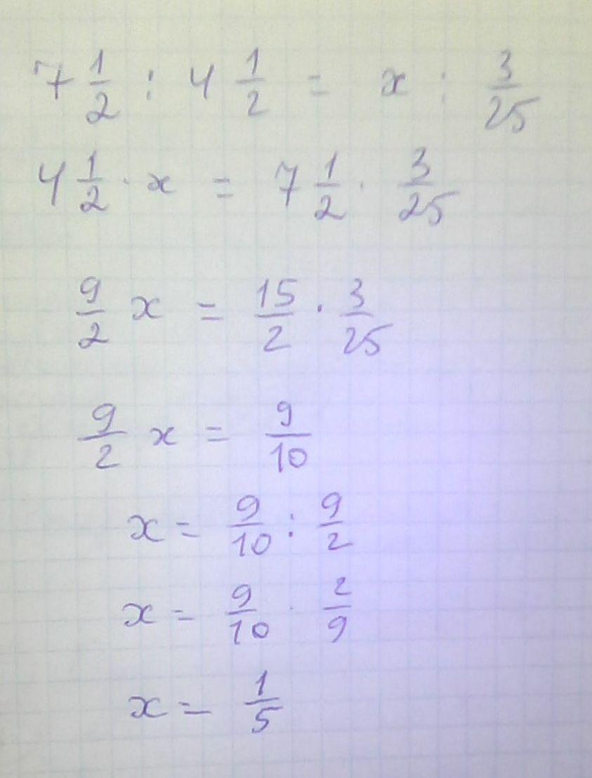
Решите уравнение:
1) 7 1/2: 4 1/2=х : 3/25​

Ответы

Ответ дал: dobritsa86
0

Ответ:

Пошаговое объяснение:

Приложения:
Ответ дал: rnv56
0

= решение = решение = решение = решение = решение =

Приложения:
Вас заинтересует