• Предмет: Геометрия
  • Автор: lehafokin9595
  • Вопрос задан 8 лет назад

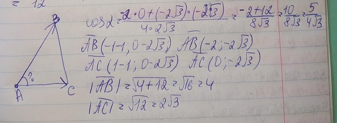
Дан треугольник ABC.
А(1;2√3)
B(-1;0)
C (1;0)
Найти угол А между векторами AB и AC.

Ответы

Ответ дал: name20name
0

........................

Приложения:
Ответ дал: lehafokin9595
0
Может быть я туплю, но в первой строчке в числителе получится 12. -2*0=0
Ответ дал: lehafokin9595
0
Конечно, спасибо, но я посчитал получится √3/2 = 30 градусов изи
Вас заинтересует