Ответы
Ответ дал:
0
Ответ:
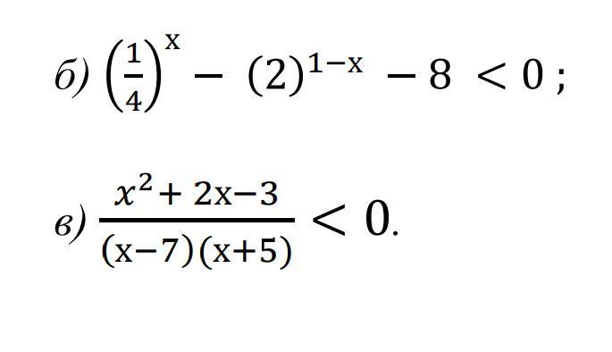
насчёт первого неравенства не знаю правильно ли решила но если надо скину
Приложения:


Ответ дал:
0
если можно, то 1 тоже
Ответ дал:
0
скинула
Вас заинтересует
2 года назад
3 года назад
3 года назад
8 лет назад