• Предмет: Алгебра
  • Автор: krs03krasn14
  • Вопрос задан 8 лет назад

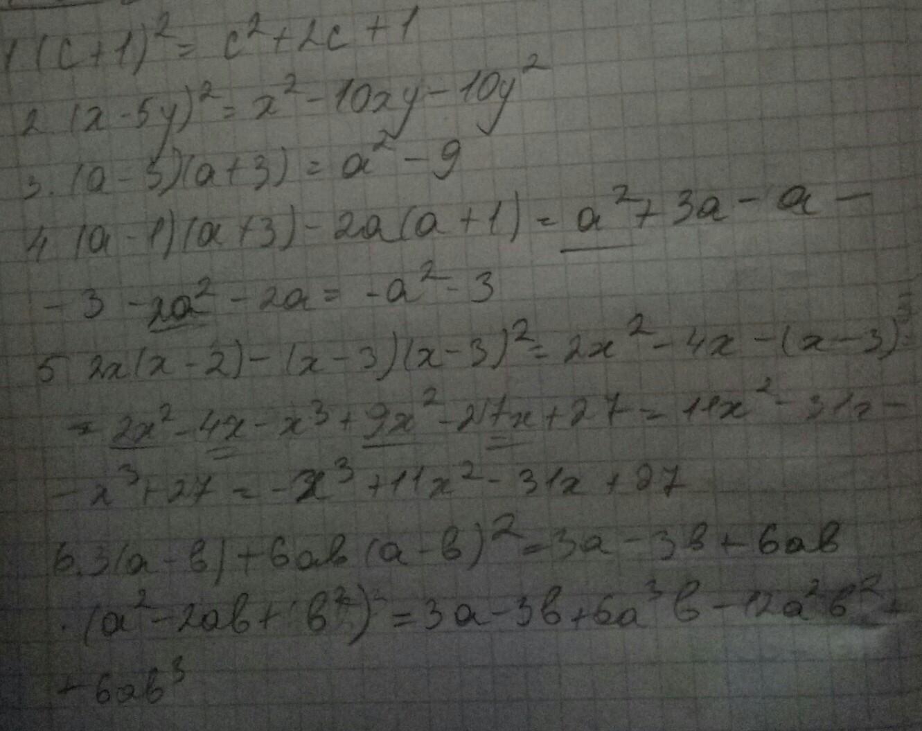
1. (с+1) 2 степень (выполнить действия)

2.(x-5y) 2 степень

3.(a-3)(a+3)





успростить выражение

4.(a-1)(a+3)-2a(a+1)

5.2x(x-2)-(x-3) (x-3) 2 степень

6. 3(a-b)+ 6ab (a-b) 2 степень


помогите срочно!!! ДАЮ 20 БАЛЛОВ

Ответы

Ответ дал: lik2003n
0

Ответ:

.........................

Приложения:
Вас заинтересует