• Предмет: Алгебра
  • Автор: misterbi18022005
  • Вопрос задан 8 лет назад

НУЖНО ОЧЕНЬ СРОЧНО!!! ПОЖАЛУЙСТА!!! ДАЮ 50 БАЛЛОВ!!!

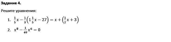
Приложения:

Ответы

Ответ дал: Evgenia4836
0

1) x/5-1/3(6x/5-27)=x+x/2+3

x/5-2x/5+9=x+x/2+3

-x/5-x-x/2=-6

2x+10x+5x= 60

17x=60

x= 60/17= 3 9/17

2) x⁶(x²-1/49)=0

x⁶(x-1/7)(x+1/7)=0

x1=0, x2= -1/7, x3= 1/7

Вас заинтересует