• Предмет: Алгебра
  • Автор: eportmane642
  • Вопрос задан 8 лет назад

СРОЧНО!!!!!!!!!!!!!!!!!!!!!!!ПОМОГИТЕ ДАЮ 35 БАЛЛОВ!!!!!!!!!!!!!!!!!!!!!

Приложения:

Ответы

Ответ дал: Universalka
0

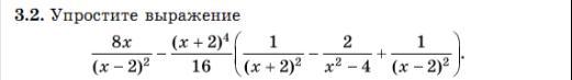
1)frac{1}{(x+2)^{2} }-frac{2}{x^{2}-4}+frac{1}{(x-2)^{2} }=frac{1}{(x+2)^{2} }-frac{2}{(x+2)(x-2)}+frac{1}{(x-2)^{2}} =frac{x^{2}-4x+4-2x^{2}+8+x^{2}+4x+4}{(x+2)^{2}(x-2)^{2}} =frac{16}{(x+2)^{2}(x-2)^{2}}\\2)frac{(x+2)^{4} }{16}*frac{16}{(x+2)^{2}(x-2)^{2}}=frac{(x+2)^{2} }{(x-2)^{2}}

3)frac{8x}{(x-2)^{2} }-frac{(x+2)^{2}}{(x-2)^{2} }=frac{8x-x^{2}-4x-4 }{(x-2)^{2} }=-frac{x^{2}-4x+4 }{(x-2)^{2} }=-frac{(x-2)^{2} }{(x-2)^{2} }=-1

Ответ дал: Universalka
0
Пожалуйста
Вас заинтересует