• Предмет: Алгебра
  • Автор: gonvic131060
  • Вопрос задан 8 лет назад

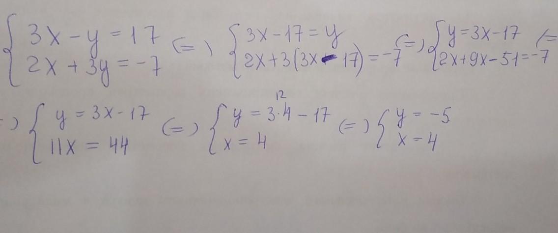
(3x - y = 17,
2x + 3y = -7​

Приложения:

Ответы

Ответ дал: Elya198
0

Не сложно же. Старайся в одном из уравнений вывести переменную Х либо У, а затем подставлять в другое уравнение)

Приложения:
Ответ дал: Elya198
0
Напиши в личку,туда скину
Ответ дал: gonvic131060
0
смысле личка
Ответ дал: gonvic131060
0
понял но баллов не хватает
Ответ дал: gonvic131060
0
знаешь давай ты типа напиши сюда гонвик
Ответ дал: gonvic131060
0
и все а там картинка с решегием
Вас заинтересует