• Предмет: Алгебра
  • Автор: vinogradovasvetlana5
  • Вопрос задан 8 лет назад

Ребят , помогите пожалуйста ❤
СРОЧНО

Приложения:

Ответы

Ответ дал: prlkomn
0

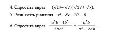
4)

( sqrt{17}  -  sqrt{7} ) times ( sqrt{17}  +  sqrt{17} ) =  \  = 17 times - 7 = 10

5)

 {x}^{2}  - 8x - 20 = 0 \ d = ( - 8) ^{2}  - 4 times1 times ( - 20) = 64 + 80 = 144 =  {12}^{2}  \ x1 =  frac{8 + 12}{2}  =  frac{20}{2}  = 10 \ x2 =  frac{8 - 12}{2}  =  frac{  - 4}{2}  =  - 2

6)

 frac{ {a}^{2}b - 4b^{3}  }{3ab^{2} }  times  frac{ {a}^{2}b }{ {a}^{2} - 2ab }  =  frac{b times ( {a}^{2}  - 4 {b}^{2})}{3b}  times  frac{a}{a times (a - 2b)}  =  \  =  frac{(a - 2b) times (a + 2b)}{3}  times  frac{a}{a times (a - 2b)}  =  \  =  frac{a + 2b}{3}

Ответ дал: vinogradovasvetlana5
0
спасибо большое
Ответ дал: prlkomn
0
на здоровье!
Вас заинтересует