Ответы
                                            Ответ дал: 
                                                                                    
                                        
                                            
                                                
                                                
                                                
                                                    0
                                                
                                            
                                        
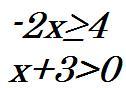
                                    Х<или =-2(просто у меня нет такого знака на клаве )
Х>3
Ответ зависит от задания, просто возможно в задании надо нарисовать прямые и указать решение как промежуток тогда решений не будет там возможно везде решени не будет только если это не отдельные уравнения
Вас заинтересует
                
                        2 года назад
                    
                
                        2 года назад
                    
                
                        8 лет назад
                    
                
                        8 лет назад
                    
                
                        9 лет назад
                    
                
                        9 лет назад
                    
                