Ответы
Ответ дал:
0
Ответ:
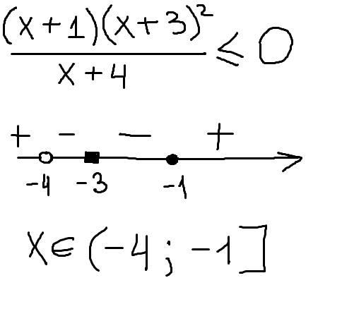
х ⊂ (-4; -1]
Объяснение:
В принципе и решать ничего не надо))
Приложения:

Ответ дал:
0
а как расписать?
Ответ дал:
0
После неравенства такого вида мы всегда сразу эту координатную плоскость рисовали, поэтому извиняй, не помогу)
Вас заинтересует
3 года назад
3 года назад
8 лет назад
9 лет назад