• Предмет: Алгебра
  • Автор: LYLYKO
  • Вопрос задан 8 лет назад

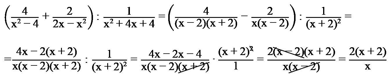
Упростите выражение~
Благодарю заранее

Приложения:

Ответы

Ответ дал: 0077123
0

4x-2x-4/2(x^2-4):1/x^2+4x+4=2(x-2)/2(x-2)(x+2)*(x+2)^2/1= x+2

Ответ дал: Senpai908
0

Фото.................................................

Приложения:
Вас заинтересует