• Предмет: Математика
  • Автор: Pola875
  • Вопрос задан 8 лет назад

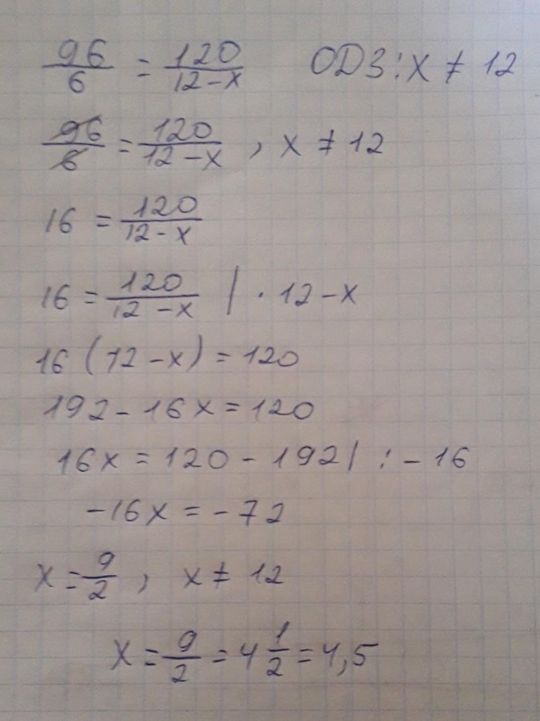
решите уравнение!!! срочно!!!​

Приложения:

Ответы

Ответ дал: pomigite47
0

Решение на фотографии надеюсь помог

Приложения:
Ответ дал: farizamahkamova0856
0

Ответ:

на картинке ..........

Приложения:
Вас заинтересует