Решите пожалуйста, это прям невероятно срочно, у нас итоговая, которая просто решает все!!!!!
Приложения:

Ответы
Ответ дал:
0
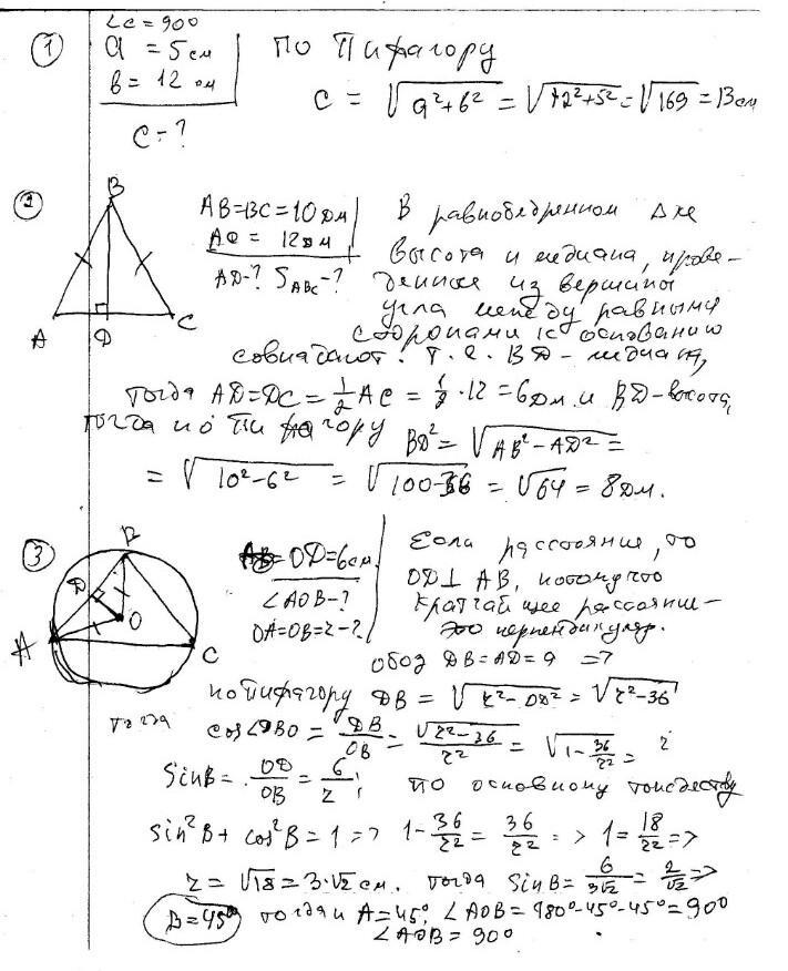
вот все ответы пиши ...
Приложения:

Ответ дал:
0
Там А2 нету
Ответ дал:
0
не запутайся
Вас заинтересует
2 года назад
3 года назад
3 года назад
8 лет назад
8 лет назад
9 лет назад