• Предмет: Алгебра
  • Автор: galar
  • Вопрос задан 8 лет назад

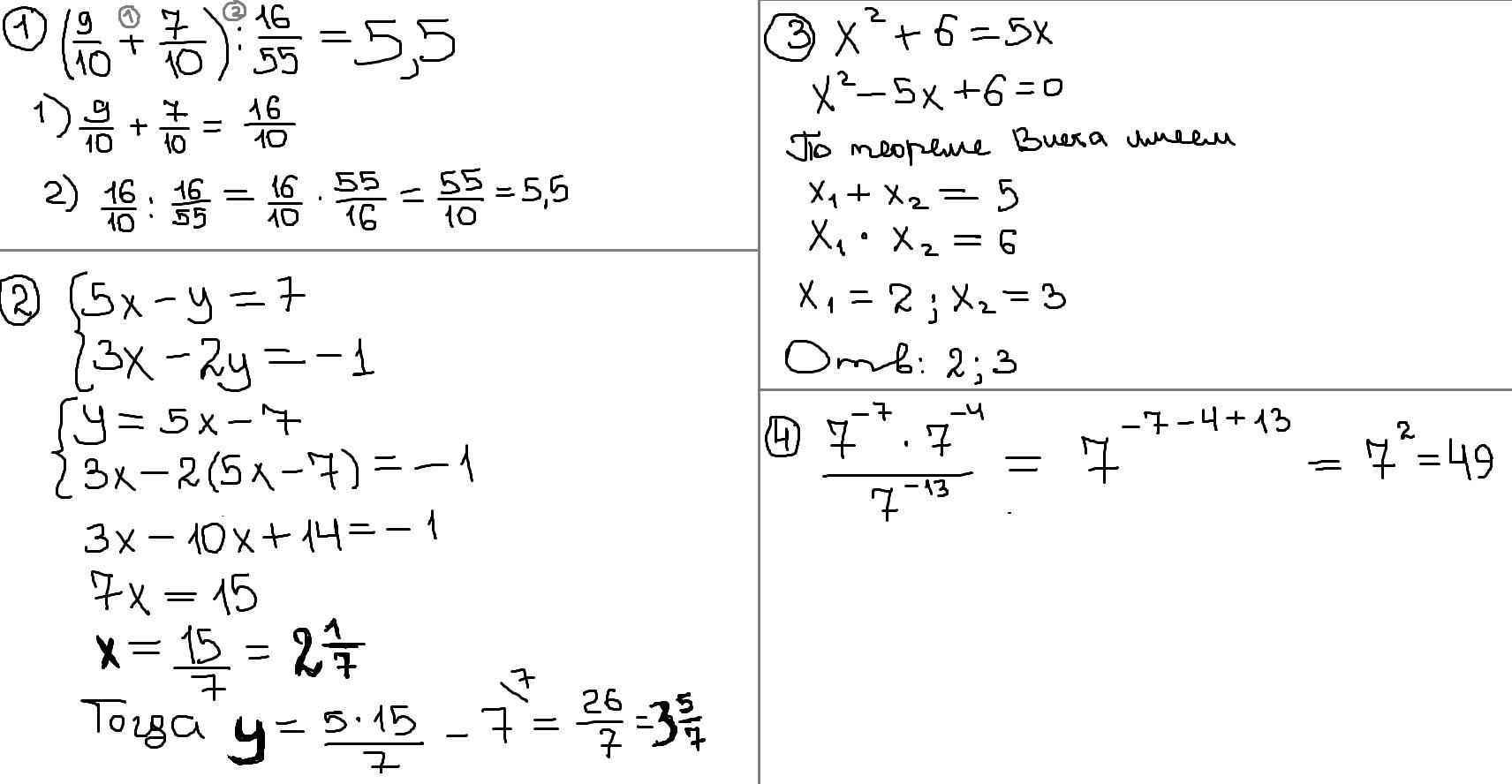
АЛЕГБРА 8 КЛАСС ПОМОГИТЕ РЕШИТЬ

Приложения:

Ответы

Ответ дал: xxanastasia
0

Ответ:

1) 5,5

2) х = 2frac{1}{7}

у = 3frac{5}{7}

3) 2; 3

4) 49

Объяснение:

Во втором номере получился подозрительно стремный ответ, десять раз проверила, вроде бы все верно. Возможно, ошибка в условии, но, в любом случае, не советую верить решению второго номера))

Приложения:
Вас заинтересует