• Предмет: Математика
  • Автор: ksandra2460
  • Вопрос задан 8 лет назад

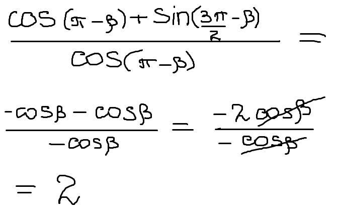
Найдите значение выражения cos(π-B)+sin(3π2-B) дробьcos(π-B)

Ответы

Ответ дал: xxanastasia
0

Ответ:

2

Пошаговое объяснение:

Формулы приведения в помощь)

Приложения:
Ответ дал: vavdovina55
0

Ответ:

на листочке

Пошаговое объяснение:

Приложения:
Вас заинтересует